שיעור 1- מהו אינטגרל, חישוב אינטגרל פולינום
נושא השיעור-חישוב אינטגרל
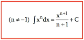
זו הנוסחא לביצוע אינטגרל-
מוסיפים למעריך החזקה 1, ומחלקים במעריך החזקה.
אינטגרל של מספר-מוסיפים x למספר. דוגמאות:
מוסיפים למעריך החזקה 1, ומחלקים במעריך החזקה.