שיעור 45-אסמפטוטה אופקית 1
נושא השיעור-איך מוצאים אסימפטוטה אופקית
כללים למציאת אסימפטוטה אופקית:
האסימפטוטה אופקית היא קו ישר מקביל לציר ה-x אליו מתקרב גרף הפונקציה כאשר x שואף לאינסוף או למינוס אינסוף.
-
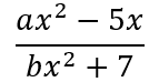
אם המעלה הגבוהה ביותר של x במונה שווה למעלה הגבוהה ביותר של x במכנה, האסימפטוטה האופקית היא השבר המתקבל מחילוק המקדמים של החזקות הגבוהות ביותר במונה ובמכנה.
דוגמא –
האסימפטוטה האופקית תהיה a חלקי b.
-
אם המעלה הגבוהה ביותר של x במכנה גדולה מזו של המונה, האסימפטוטה האופקית היא y=0 .
-
אם המעלה הגבוהה ביותר של x במונה גדולה מזו של המכנה, אין אסימפטוטה אופקית.
